27
2020-03
发布者: 浏览次数: 次
单频光纤激光器的线宽Linewidth
1.单频光纤激光器线宽的概念
单频激光器(包括光纤激光器和半导体激光器)的线宽首先是一个频域的概念,对有些人来说不太容易理解,为什么这么说呢,道理很简单,因为能够用的时域测试手段根本就满足不了要求,比如现在常用的光谱分析仪的分辨率大约为10-50pm量级,而单频光纤激光器的光谱宽度远比这个要窄,要差很多个数量级。时域有困难,必须找频域,这是真理。来到了频域,线宽的问题就简单化了也变得可以测量了。
前文提到过,理想状态下的单频激光器输出激光全部由受激辐射产生,没有自发辐射,激光器输出的光波频率和相位恒定不变。输出为频率f0的单一谱线。而实际的单频激光器因为受到自发辐射,各种噪声的影响,出现了不可避免的频率和相位的随机扰动,其输出的频谱不再是一条单一的谱线,而是具有一定宽度的包络。单频光纤激光器的频谱包络线型表现为洛伦兹线型,通过自外差相干等手段得到拍频谱或者相频噪声波动频谱,并且对其频谱包络宽度进行测量,计算可以获得单频光纤激光器的频谱线宽(Linewidth的含义还是很形象)。
2.深度理解单频激光器的线宽
先说说本征线宽和极限线宽,本征线宽的概念指的是无源的谐振腔的线宽,叫做无源腔模式的本征线宽,相当于一个滤波器的半高全宽(FWHM),无源谐振腔的本征线宽是由谐振腔的参数决定的,有固定的值。例如这样的公式:
如果你连公式也懒得看的话,就这样理解吧,无源谐振腔一旦确定,其本征线宽是确定的值,腔内光子寿命越长,本征线宽越窄。谐振腔越长,本征线宽越窄,谐振腔的损耗越小,本征线宽越窄。
极限线宽则是针对有源的激光器谐振腔而言的,一旦激光器的谐振腔确定,那么这个激光器就有一个理论的极限线宽,也是最窄的线宽。公式也和本征线宽的公式差不多,只是这时候的光子寿命要受到两个因素的影响,谐振腔的损耗和有源介质提供的增益。单频光纤激光器(半导体激光器)的极限线宽公式:

看着好复杂,意义是能够通过以上公式把极限线宽计算出来!
单频光纤激光器具有极限线宽的物理原因是:自发辐射的存在不可避免。
单频光纤激光器的效率越高,输出功率越高,其极限线宽越窄,因为输出功率高就意味着激光器谐振腔内相干光子数量越多,那么受激辐射和自发辐射相比就更占据优势啊,而自发辐射才导致频谱线宽展宽啊,简单吗?
单频光纤激光器的实际线宽要比理论的极限线宽大得多,这是因为激光器必然会受到各种各样噪声的影响,尤其是频率噪声和相位噪声导致了单频光纤激光器频域的频谱展宽。我们测试的结果也只能是比较接近单频光纤激光器的实际线宽。
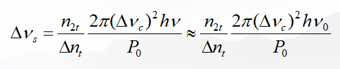
单频光纤激光器的线宽不应该被看做是噪声的一种,而是从频域的角度在描述频率噪声和相位噪声。线宽越窄,意味着单频光纤激光器的频率噪声和相位噪声越低,而频率噪声和相位噪声是近亲,虽然含义不同,但是都在描述一个技术指标,那就是单频光纤激光器的短期频率稳定度。他们之间的关系:
我们会在以后的产品技术讲堂中详细介绍单频光纤激光器的频率噪声和相位噪声。
3. 单频激光器线宽的测试
最实用的测试方案:
这个方案有个高大上的名字叫做:自外差非平衡M-Z干涉仪。测量线宽的原理:待测激光经耦合器 1(Coupler 1)分成两部分,一路光作为参考光经 光纤延迟线延时;另一路光作为信号光不延时,但为了避开电子频谱仪(Electronic Spectrum Analyzer,以下简称为 ESA)也叫频谱分析仪的零频基线,提高测量精度,通常在这一支路中插入声光调制器(AOM)来进行移频。本地振荡参考光与信号光在耦合器 2(Coupler 2) 处相拍,利用 ESA 分析该拍频信号即可确定被测激光的线宽。
经过一系列复杂的不忍直视的推导运算(省略一万字)得出结论:拍频谱的半极大值全宽(FWHM)也就是-3dB的宽度是待测激光器线宽的2倍!大家只需要记住这一点。而典型的单频光纤激光器的拍频谱是这样的:
CoSF-D-EY线宽测试的拍频谱
得到了以上的拍频谱,取得-3dB的频谱宽度FWHM,除以2就得到了待测单频光纤激光器的线宽。如果-3dB不好观察,取-10dB的宽度,除以10;取-20dB的宽度,除以20都可以计算得出同样的结果。
有人一定会问,拍频谱中心频率两侧的次峰或者肩膀是什么?这是强度噪声带来的影响,两个次峰所对应的频率和主峰之间的频率间隔就是单频光纤激光器的驰豫振荡峰值频率,这两个次峰的幅度越高代表着驰豫振荡峰值相对强度噪声(RIN)越大。离中心频率越远则代表着单频光纤激光器的驰豫振荡峰值频率(也就是RIN的峰值频率)越高。
4. 单频光纤激光器的线宽测试要点
自外差非平衡M-Z干涉仪法是测量单频光纤激光器的有效手段,实现起来并不复杂,不过要想能够相对准确测试出单频光纤激光器的实际线宽,需要注意一些测试的要点:
1)延时光纤的长度要足够长,至少达到单频光纤激光器相干长度的3倍以上,最好是6倍以上。其中的计算模拟这些复杂的工作交给大神们去完成,实际测试中我们需要记住,延时光纤不能短!
2)自外差非平衡M-Z干涉仪本身就是对相位噪声非常敏感的系统,要想得到相对准确的结果,整个测试系统需要做隔振,隔温,隔声处理,避免外接环境带来的干扰。
3)自外差非平衡M-Z干涉仪并不能准确测试出单频光纤激光器的线宽绝对值,而是能够判定其线宽小于什么值。
4)自外差非平衡M-Z干涉仪的测试结果接近于单频光纤激光器的实际线宽,当然比实际线宽要大。
5)延时光纤的长度决定了自外差非平衡M-Z干涉仪系统能够测得的最小线宽的分辨率。举例1550nm的单频光纤激光器,50km的延迟光纤分辨率大约为3-4kHz。
6)如果单频光纤激光器的线宽很窄,延迟光纤长度变化或者频谱分析仪的分辨率设置(例如RBW和VBW)改变对结果的影响较小。
5. 测试频率噪声功率谱谱密度计算单频激光器的线宽
有时我们会看到这样的一个测试结果,看着有些发懵。
这是通过测试计算频率噪声功率谱密度(PSD)来计算获得单频光纤激光器的线宽的方式。上海瀚宇采用上光所开发的激光器噪声测试仪对单频光纤激光器进行线宽测试。上图的横坐标单位是频率(指的是频谱上偏离载波的频率),在时域对应的就是积分时间(测量时间),例如1kHz对应着1ms,10kHz对应着100us,1MHz对应着1us,而1Hz对应着1s。
左侧的纵坐标是频率噪声功率谱密度,,右侧的纵坐标是线宽。一个个分布的小圆点就对应了被测单频激光器在不同积分时间情况下的线宽,当然这样的线宽结果是通过一系列相对复杂的算法计算得出的。完全可以想象,不同的测试仪器厂家的算法逻辑可能会有差别,所以得到的线宽结果也会有所区别。
为了能够更为准确地判断各种单频激光器的线宽指标是否准确,应该对不同厂家的单频激光器使用同一台噪声测试仪测试比较评估,这样才会得到客观的结论。
例如:美国的OEwaves公司在为其单频半导体激光器的线宽指标提出这样的说明。
其激光器的瞬时线宽是根据频率噪声功率谱密度通过计算机运算得出的结果。如果换成其他厂家的测试设备得到的线宽结果可能和OEwaves自己标称的技术指标有一定的偏差。
6. 单频光纤激光器的线宽特质
• 单频光纤激光器具有非常窄的极限线宽,其频谱线型为洛伦兹型,这一点和单频半导体有较为明显的不同。原因是单频光纤激光器有更长的激光谐振腔,更长的腔内光子寿命。这意味着单频光纤激光器的相位噪声和频率噪声比单频半导体激光器更低。
• 单频光纤激光器的线宽测试结果和积分时间有关。这个积分时间往往很难理解,其实可以简单理解成为“观察测试”单频光纤激光器的时间,在这段时间内我们通过拍频手段测量频谱相位噪声的方式来计算线宽。拿自外差非平衡M-Z干涉仪举例说明,延时光纤的长度是50km,单模光纤纤芯折射率假设为1.5,光在真空中的速度为3x108米/秒,那么光在单模光纤中每传输1米大约会产生4.8ns的延迟,经过50km的光纤相当于产生了240us的延迟。
让我们把待测的单频激光经过1:1的光分路器后想象成2个特性完全一致的分身,其中一个分身比另外一个多跑了240us,当两个分身再通过第二个1:1的光耦合器合体时,多跑240us的一个分身带着相位噪声,因为相位噪声的影响,重新合体后的单频激光和未出发前的状态相比,在频谱上有一定的宽度,专业一点的说法,这个过程叫做相位噪声调制,因为调制导致的展宽是双边带的,所以相位噪声频谱宽度是待测单频激光线宽的2倍。而在频谱上要计算这个展宽的频谱宽度需要用到积分的手段,所以这个时间就被称为积分时间了。
通过上面的解释,我们就能够明白“积分时间”和单频光纤激光器的测量线宽之间肯定有关系。“积分时间”越短,分身带来的相位噪声影响越小,单频光纤激光器的测量线宽也就越窄。
换一个角度去理解,线宽在描述什么?是单频激光器的频率噪声和相位噪声。这些噪声本身一直存在,累积的时间越长,噪声也就越明显,所以“观察测试”单频光纤激光器的频率噪声和相位噪声时间越长,测得的线宽也就越大。当然这里说的时间实际上都很短,比如纳秒,微秒,毫秒,最多到秒级,这是测试测量随机噪声的常识。
• 单频光纤激光器的频谱线宽越窄,时域的光谱就越干净漂亮,具有极高的边模抑制比(SMSR),反之亦然。掌握了这一点可以在不具备线宽测试条件的时候判断单频激光器的单频性能,当然由于光谱仪(OSA)的自身技术原理以及分辨率限制,单频光纤激光器的光谱不能定量或者准确反映其相位噪声和频率噪声,这个判断是相当粗略的,有时候也会带来错误的结果。
• 单频半导体激光器的实际线宽一般都会高于单频光纤激光器,尽管有的厂家把单频半导体激光器的线宽指标提的很漂亮,实际测试表明,单频半导体激光器的极限线宽比单频光纤激光器要宽,其频率噪声和相位噪声指标也要差,这是单频激光器谐振腔结构和长度决定的。当然不断发展的单频半导体技术通过大幅度提高外腔长度,延长光子寿命,控制相位提高谐振腔驻波条件形成的门槛等方式不断抑制相位噪声,压窄单频半导体激光器的线宽。我们会在今后的产品技术讲堂中介绍单频半导体激光器的技术。
- 相关资讯