08
2020-05
发布者: 浏览次数: 次
窄线宽单频半导体激光器-OEwaves篇
1.美国OEwaves公司
美国OEwaves公司凭借特有的回音壁光学微腔(WGM)技术享誉业界,其主要产品线包括基于WGM技术的超窄线宽低噪声单频半导体激光器,单频激光器和低噪声射频信号噪声测试仪,以及大带宽低相位噪声的光电振荡器(OEO)产品等。本文就OEwaves公司回音壁光学微腔(WGM)技术,以及基于WGM的Hi-Q系列窄线宽单频半导体激光器进行介绍。
2.回音壁(WGM)光学微腔技术
“耳语回廊”模式(Whispering Gallery Mode简称WGM)最早发现于声学体系中。早在19 世纪,著名科学家Rayleigh 就首次分析了其中的声学原理给出了物理解释。他认为:这是由于声波沿着回廊光滑的墙内壁连续反射来进行传播,传播损耗很小。这种声波模式也因此被命名为“耳语回廊模式”,而在中国我们习惯性叫作“回音壁模式”。由于电磁波在从光密介质向光疏介质传播时会发生全反射现象,因此在具有旋转对称的几何结构中,当光线沿着几何结构边界内壁传播时会发生连续的全反射,光束被约束在环形边界上,从而产生类似的回音壁现象。若光束绕几何结构边界行走一圈的光程满足波长的整数倍时,会产生干涉加强现象即共振现象,其中用来约束光场的环形结构即被称为回音壁模式光学微腔。
3.回音壁(WGM)光学微腔的主要参数
描述光学微腔的回音壁模式通常有几个特征参数,其中最重要的两个参数分别为品质因子(Quality Factor简称Q) 和模式体积(Mode Volume简称Vm),另外还有自由光谱范围(Free Spectral Range简称FSR),线宽(Linewidth),功率堆积因子(Build-up Factor)和精细度(Finesse)等。在传感领域通常要求微腔具有高品质因子和小模式体积来增加传感器的灵敏度,如果要测量模式光谱的移动和展宽等会比较关注自由光谱范围和精细度。
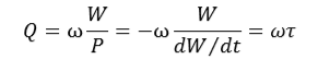
4.品质因子Q
质因子(Quality factor)反应的是微腔储存光子的能力,描述的是腔内光场在绕微腔传播一周之后消耗的能量,也就是说,𝑄值越大腔内光子寿命就会越长, 𝑄值小的光子寿命就越短。品质因子𝑄可以定义为腔内光子总能量与光波传播一周的损耗的比值。

式中 W 是腔内储存的光子总能量,P = 𝑑𝑊 𝑑𝑡 ⁄ 是单位时间内能量的损耗,ω为谐振角频率,𝜏定义为腔内能量衰减到初始能量的1/𝑒所需要的时间。
品质因子Q的另外一种表达式是Q=ωτ =λ/Δλ,ω和λ分别是模式的共振角频率和共振波长,τ是腔内光场的光子寿命, Δλ为模式线宽。因此微腔损耗越小,光子寿命越长,则微腔的品质因子越高,回音壁模式的线宽就越窄。微腔的品质因子主要取决于微腔的本征损耗和耦合引入的外部损耗 。
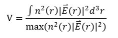
5.模式体积
模式体积描述微腔对光子在空间上的约束程度,模式体积强烈依赖于微腔大小。对于Fabry-Pérot光学微腔,模式体积约等于腔的体积;对于回音壁模式(WGM)光学微腔,模式的截面积可以到波长的平方量级,模式体积则约为微腔周长乘以截面积。
稳定的回音壁模式要求: 2πneffR =mλm,其中neff是模式的有效折射率,R 是微腔半径,m是角量子数,λm是共振波长。
式中分子部分内容表示能量密度对整个回音壁模式(WGM)微腔的积分,积分范围包括了整个耦合空间。从式中能看到,模式体积越小,能量密度就越大,就能增强光与介质的相互作用。被压缩的模场模式体积小于未被压缩,低阶模式往往具有比高阶模式小的模式体积。
6.自由光谱范围FSR
自由光谱范围指其他量子数完全相同,只有角量子数相差1 的两个回音壁模式之间的频率或者波长间隔,可以用下面的式子描述。
其中neff是模式的有效折射率,L是微腔的周长,可以用2πR表示,R 是微腔半径。
7.精细度Finesse
精细度来源于Fabry-Pérot 标准具,用来衡量标准具的光谱分辨能力,定义为自由光谱范围与模式线宽之比。
8.功率堆积因子
功率堆积因子用来描述腔内功率与输入功率之比,即对应着光子在腔内循环的圈数, 表达式为B = λQ/2π2nD ,其中n 为折射率,D 为微腔的直径。对于直径为50 μm,品质因子为108的二氧化硅微腔,在1550 nm 波段微腔的功率堆积因子约为105。也就是光子在微腔内循环十万圈才耗散,因此在微腔内极大地增强了光与物质相互作用。
9.回音壁(WGM)光学微腔的耦合方式
由于回音壁模式(WGM)是基于全内反射形成,微腔内行波波矢大于自由空间波矢,由于动量失配,自由空间的光很难耦合到回音壁模式微腔内,因此通常采用近场耦合方式。常用的近场耦合方式是利用动量匹配的倏逝场进行耦合,可以达到极高的耦合效率。
10.OEwave基于回音壁模式(WGM)光学微腔的Hi-Q单频半导体激光器
回音壁模式(WGM)光学微腔是OEwaves公司的核心技术,据公司网站介绍,其WGM光学微腔的Q值达到10^12量级(1E12),采用的材料从紫外到中红外波段透明(400-4500nm),适用于各种波段的半导体激光器。Hi-Q激光器的主要产品工作波段为1.0um,1.5um和2.0um,该激光器采用一体化的标准蝶形封装,把F-P激光器芯片和回音壁模式(WGM)光学微腔集成到一起。具有出色的综合性能,尺寸小巧,标称的线宽达到Hz量级,甚至低于1Hz。
11. Hi-Q单频半导体激光器的关键技术指标
1. 线宽
OE4030代表了OEwaves公司Hi-Q系列窄线宽单频半导体激光器的最高水平。其标称的瞬时线宽为3Hz,如此窄的线宽无法通过自外差非平衡M-Z干涉仪的方式拍频直接测试,OEwaves公司通过测试OE4030单频半导体激光器的频率噪声功率谱密度,经过一定的算法,计算获得激光器的瞬时线宽。
2 频率噪声
OEwaves公司的Hi-Q窄线宽单频半导体激光器的技术指标中提供了频率噪声测试的功率谱密度(PSD)曲线。
从频率噪声的结果分析,OE4030确实有极低的频率噪声和相位噪声,这也从另一方面验证了其具有非常窄的瞬时线宽。不过,OEwaves的实际测试条件不得而知,目前上海瀚宇尚未对OE4030激光器进行比较测试,无法准确评价其实际性能。
3. 相对强度噪声(RIN)
Hi-Q激光器的本质是外腔型半导体激光器,其相对前度噪声(RIN)性能相当优秀,根据OEwaves提供的产品技术指标,OE4030单频半导体激光器的相对强度噪声(RIN)为-150dBc/Hz(@10MHz),和其他半导体激光器水平相
当。
12. 对比性测试OEwaves Hi-Q单频半导体激光器的技术分析
Hi-Q单频半导体激光器从技术路线上看属于外腔注入锁定型单频半导体激光器。高品质因子的回音壁模式(WGM)光学微腔的作用有两个,一是相当于一个超窄带的光学滤波器,起到类似于外腔光栅一样的选频作用,把满足WGM谐振模式的光注入到F-P激光器中,起到注入锁定的作用,大幅度抑制F-P激光器谐振腔的噪声。二是利用了WGM光学微腔的超长光子寿命,大幅度拉长了F-P半导体激光器的腔长,压窄了线宽,降低激光器的相位噪声。最终获得超窄线宽,超低相位噪声和频率噪声的窄线宽单频半导体激光器输出。
回音壁模式(WGM)光学微腔巧妙平衡了较短的物理腔长和实际超长的光子寿命之间的难题。WGM光学微腔尺寸小巧,能够和F-P半导体激光器谐振腔共同被封装在14PIN标注蝶形封装之中,大大提高了窄线宽单频半导体激光器的稳定性和可靠性。
从OEwaves公司提供的回音壁模式(WGM)光学微腔的示意图可以得知,光学微腔的耦合方式采用了耦合棱镜(Coupling prism),众所周知,光学微腔的输入输出耦合困难,要求精度极高。这样的耦合方式显然对工艺控制有着很高的要求。回音壁模式(WGM)光学微腔的支撑,安装和减震设计也并不容易实现。
上图展示了OEwaves公司基于两只Hi-Q窄线宽单频半导体激光器技术实现的光电振荡器(OEO)内部封装情况,可以想象其精密对准固定工艺要求的难度。
13. 关于回音壁模式(WGM)光学微腔的品质因子(Q值)
OEwaves公司声称其回音壁模式(WGM)光学微腔具有极其高的品质因子(Quality Factor),Q值可以达到1E12量级(~100 billion),这究竟是不是一个很高的Q值呢?让我们拿一个标准的Fabry-Pérot 标准具来做比较。
Fabry-Pérot 标准具的品质因子(Q)的计算公式如下:
假设波长为1550nm,Fabry-Pérot 标准具长度5mm,反射率99.9%,空气中1.0,其Q值的计算结果大约为6E15(10的15次方),大约比回音壁模式(WGM)光学微腔的品质因子(Q)要高3个数量级。
由此可见,回音壁模式(WGM)光学微腔和Fabry-Pérot 标准具光学谐振腔相比,其品质因子Q值并不高,这和回音壁模式(WGM)光学微腔制作困难,耦合难度大恐怕都有很大的关系。
在OEwaves公司的Hi-Q系列窄线宽单频半导体激光器中,回音壁模式(WGM)光学微腔充当了超窄半极大值全宽(FWHM)窄带光学滤波器,以注入锁定的方式影响F-P半导体激光器谐振腔的谐振模式,实现窄线宽低噪声的单频单纵模激光输出。其极小的模式体积不但大幅度提高了光学微腔内的光子寿命,而且降低了激光器整体的相位噪声,从而起到了压窄半导体激光器线宽的效果。理论上,其它高品质因子(Q值)的光学谐振腔也可以达到同样的效果。
受限于F-P型半导体激光器谐振腔本身的性能,比如纵模数量较多,模式竞争严重,导致整体噪声水平较高。Hi-Q系列窄线宽单频半导体激光器尽管依赖高品质因子(Q值)的回音壁模式(WGM)光学微腔已注入锁定的方式实现了窄线宽单频输出,激光器的其他方面性能指标并不出色。例如,其光信噪比(OSNR)的典型值为55dB,而光谱边模抑制比(SMSR)典型值为50dB,远低于单频光纤激光器。
另一方面,OEwaves公司的回音壁模式(WGM)光学微腔和F-P型半导体激光器谐振腔之间采用了空间耦合方式,考虑到回音壁模式(WGM)光学微腔的输入输出耦合困难,以及光学精密对准的要求,Hi-Q系列单频半导体激光器相对容易失谐出现跳模现象,从产品的技术指标看,其1550nm波段的单频半导体激光器波长温度调谐范围限定在10GHz(0.08nm),这是一个相当小的范围。而单频光纤激光器的波长温度调谐范围一般可达100GHz以上。
从技术的角度出发,OEwaves的回音壁模式(WGM)光学微腔和RIO公司的平面光波导光栅(PLANEX)窄线宽单频半导体激光器技术都基于外腔的思想,和相对传统的光纤光栅外腔半导体单模激光器的出发点没有本质区别,国内的大族锐波公司采用体光栅(VBG)作为外腔选取单纵模的窄带滤波器也是同样的机理。窄线宽单频半导体激光器的实现路径都如出一辙,那就是大幅度增加激光器谐振腔的腔长,提高谐振模式的相位匹配条件的门槛和标准,从而降低激光器的相位噪声和频率噪声,实现超窄线宽的单频单纵模输出。
单频光纤激光器通常采用全光纤的方式实现,和单频半导体激光器相比各有优缺点。理论上,单频光纤激光器拥有更长的谐振腔长度,光子寿命更长,因而会实现更低的相位噪声和频率噪声,也就是更窄的线宽输出。其代价则是容易受到工作环境的影响,稳定性偏差。上海瀚宇的CoSF-R优化行波腔型超窄线宽单频光纤激光器采用了极高品质因子(Q值)的全光纤结构的光学微腔对低噪声单模激光器谐振腔实现注入锁定,有望获得比Hi-Q系列单频半导体激光器更低噪声,更窄线宽的单频单纵模输出。
下图展示了上海瀚宇CoSF-R超窄线宽单频光纤激光器的典型输出光谱,其光谱边模抑制比(SMSR)超过70dB。
值得一提的是,OEwaves公司的HI-Q窄线宽单频半导体激光器模块的封装尺寸是152x58.4x25mm,这个尺寸和上海瀚宇CoSF-D的标准模块尺寸相当(145x100x25mm),大于CoSF-D-Mini(110X70x25mm)系列。这说明回音壁模式(WGM)光学微腔的安装和稳定控制有较高的要求。
- 相关资讯